In the previous two posts, we went over the introduction, mechanism of aldol reaction and its difference from the aldol condensation.
There are also shortcuts discussed there that you can use to work on the following practice problems.
In the previous two posts, we went over the introduction, mechanism of aldol reaction and its difference from the aldol condensation.
There are also shortcuts discussed there that you can use to work on the following practice problems.
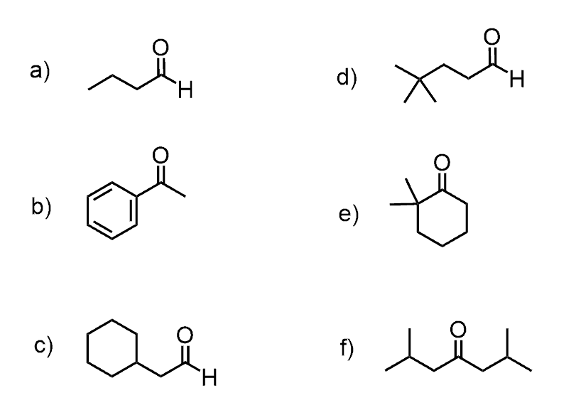
Predict the product of aldol addiction reaction when each aldehyde or ketone is treated with aqueous sodium hydroxide. Remember, aldol additions are less favorable for ketones, however, good yields can be achieved with special distillation techniques.

This content is for registered users only.
By joining Chemistry Steps, you will gain instant access to the answers and solutions for all the Practice Problems, including over 40 hours of problem-solving videos, Multiple-Choice Quizzes, Puzzles, Reaction Maps, and the powerful set of Organic Chemistry 1 and 2 Summary Study Guides.
This content is for registered users only.
By joining Chemistry Steps, you will gain instant access to the answers and solutions for all the Practice Problems, including over 40 hours of problem-solving videos, Multiple-Choice Quizzes, Puzzles, Reaction Maps, and the powerful set of Organic Chemistry 1 and 2 Summary Study Guides.
This content is for registered users only.
By joining Chemistry Steps, you will gain instant access to the answers and solutions for all the Practice Problems, including over 40 hours of problem-solving videos, Multiple-Choice Quizzes, Puzzles, Reaction Maps, and the powerful set of Organic Chemistry 1 and 2 Summary Study Guides.
This content is for registered users only.
By joining Chemistry Steps, you will gain instant access to the answers and solutions for all the Practice Problems, including over 40 hours of problem-solving videos, Multiple-Choice Quizzes, Puzzles, Reaction Maps, and the powerful set of Organic Chemistry 1 and 2 Summary Study Guides.
This content is for registered users only.
By joining Chemistry Steps, you will gain instant access to the answers and solutions for all the Practice Problems, including over 40 hours of problem-solving videos, Multiple-Choice Quizzes, Puzzles, Reaction Maps, and the powerful set of Organic Chemistry 1 and 2 Summary Study Guides.
This content is for registered users only.
By joining Chemistry Steps, you will gain instant access to the answers and solutions for all the Practice Problems, including over 40 hours of problem-solving videos, Multiple-Choice Quizzes, Puzzles, Reaction Maps, and the powerful set of Organic Chemistry 1 and 2 Summary Study Guides.
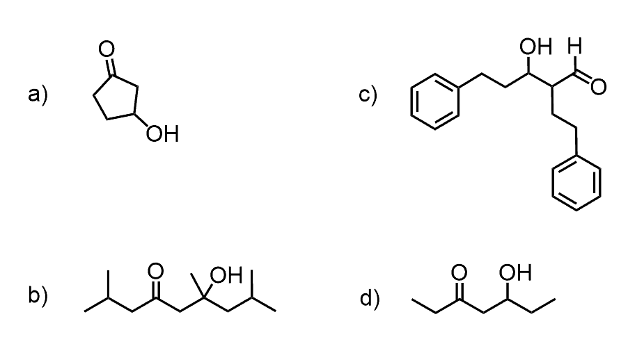
The products of aldol addition reactions are β-hydroxy carbonyls which undergo an elimination by E1CB mechanism when treated with a base at high temperature.
Draw the mechanism and the structure of the ɑ, β-unsaturated carbonyl compound when each of the following β-hydroxy compounds is treated with sodium hydroxide at 80 oC. These are the final products of corresponding aldol condensation reactions covered in the next exercise.

This content is for registered users only.
By joining Chemistry Steps, you will gain instant access to the answers and solutions for all the Practice Problems, including over 40 hours of problem-solving videos, Multiple-Choice Quizzes, Puzzles, Reaction Maps, and the powerful set of Organic Chemistry 1 and 2 Summary Study Guides.
This content is for registered users only.
By joining Chemistry Steps, you will gain instant access to the answers and solutions for all the Practice Problems, including over 40 hours of problem-solving videos, Multiple-Choice Quizzes, Puzzles, Reaction Maps, and the powerful set of Organic Chemistry 1 and 2 Summary Study Guides.
This content is for registered users only.
By joining Chemistry Steps, you will gain instant access to the answers and solutions for all the Practice Problems, including over 40 hours of problem-solving videos, Multiple-Choice Quizzes, Puzzles, Reaction Maps, and the powerful set of Organic Chemistry 1 and 2 Summary Study Guides.
This content is for registered users only.
By joining Chemistry Steps, you will gain instant access to the answers and solutions for all the Practice Problems, including over 40 hours of problem-solving videos, Multiple-Choice Quizzes, Puzzles, Reaction Maps, and the powerful set of Organic Chemistry 1 and 2 Summary Study Guides.
Using the principles, we applied in the previous two exercises, determine the structure of aldol condensation reaction for each of the following aldehydes and ketones.
Remember, aldol condensation occurs after the aldol addition and leads to ɑ, β-unsaturated carbonyl compound.

This content is for registered users only.
By joining Chemistry Steps, you will gain instant access to the answers and solutions for all the Practice Problems, including over 40 hours of problem-solving videos, Multiple-Choice Quizzes, Puzzles, Reaction Maps, and the powerful set of Organic Chemistry 1 and 2 Summary Study Guides.
This content is for registered users only.
By joining Chemistry Steps, you will gain instant access to the answers and solutions for all the Practice Problems, including over 40 hours of problem-solving videos, Multiple-Choice Quizzes, Puzzles, Reaction Maps, and the powerful set of Organic Chemistry 1 and 2 Summary Study Guides.
This content is for registered users only.
By joining Chemistry Steps, you will gain instant access to the answers and solutions for all the Practice Problems, including over 40 hours of problem-solving videos, Multiple-Choice Quizzes, Puzzles, Reaction Maps, and the powerful set of Organic Chemistry 1 and 2 Summary Study Guides.
This content is for registered users only.
By joining Chemistry Steps, you will gain instant access to the answers and solutions for all the Practice Problems, including over 40 hours of problem-solving videos, Multiple-Choice Quizzes, Puzzles, Reaction Maps, and the powerful set of Organic Chemistry 1 and 2 Summary Study Guides.
This content is for registered users only.
By joining Chemistry Steps, you will gain instant access to the answers and solutions for all the Practice Problems, including over 40 hours of problem-solving videos, Multiple-Choice Quizzes, Puzzles, Reaction Maps, and the powerful set of Organic Chemistry 1 and 2 Summary Study Guides.
This content is for registered users only.
By joining Chemistry Steps, you will gain instant access to the answers and solutions for all the Practice Problems, including over 40 hours of problem-solving videos, Multiple-Choice Quizzes, Puzzles, Reaction Maps, and the powerful set of Organic Chemistry 1 and 2 Summary Study Guides.
Suggest a synthetic route to achieve the following transformation:

This content is for registered users only.
By joining Chemistry Steps, you will gain instant access to the answers and solutions for all the Practice Problems, including over 40 hours of problem-solving videos, Multiple-Choice Quizzes, Puzzles, Reaction Maps, and the powerful set of Organic Chemistry 1 and 2 Summary Study Guides.
Suggest a synthetic route to achieve the following transformation without using any other carbon source:

This content is for registered users only.
By joining Chemistry Steps, you will gain instant access to the answers and solutions for all the Practice Problems, including over 40 hours of problem-solving videos, Multiple-Choice Quizzes, Puzzles, Reaction Maps, and the powerful set of Organic Chemistry 1 and 2 Summary Study Guides.
Suggest reagents to achieve the following synthetic transformation:

This content is for registered users only.
By joining Chemistry Steps, you will gain instant access to the answers and solutions for all the Practice Problems, including over 40 hours of problem-solving videos, Multiple-Choice Quizzes, Puzzles, Reaction Maps, and the powerful set of Organic Chemistry 1 and 2 Summary Study Guides.
Check Also
For question 4, could you use PCC to turn the primary alcohols into aldehydes? Also, when you added base, how can you assume that you only have one molar equivalent that it would only remove the alpha hydrogen of alpha carbon?
Yes, you can use PCC to oxidize primary alcohols to aldehydes, but you need to count the number of carbon atoms for the next step. In general, it is always good to number the carbon atoms in organic synthesis.
For the deprotonation of alpha carbons, keep in mind that the pKa of those is very high for the hydroxide ion to deprotonate them completely, so having both groups converted into enolates is unlikely, but even if it does occur, the percent of such conversion is going to be very low. It is a keto-enol tautomerization highly favored to the side of the carbonyl form and it moves forward because the little amount of enolate reacts with the carbonyl upon formation. It is essentially the use of a weak base such as a hydroxide that allows for aldol condensation o happen. If a strong base such as LDA was used all the carbonyl would’ve been converted into enolates and no condensation would occur. Each of these has a disadvantage and they are used for specific purposes. For example, if we want to react two different carbonyls then, using a strong base is needed to avoid have all the mixing combinations:
What we do is use a strong base to completely enolate the carbonyl, and once the enolate is formed, we add the second carbonyl compound. Check the post “Crossed Aldol And Directed Aldol Reactions” for more details. Don’t forget to download your study guides here too.