The number of NMR signals represents the number of different types of protons in a molecule.
This is the example we used in the introduction to NMR spectroscopy:

The spectrum has five signals which indicates five types of different protons.
So, what does a type of proton mean?
Protons are grouped in types based on their environments.
For example, let’s start with the simplest hydrocarbon; how many signals would you expect to see on the NMR spectrum of methane?

We said that the definition of proton type is given based on the environment they are at. And even though methane has four protons, they are all connected to the same atoms and have the same neighbors on all sides – in other words, they are equivalent because they are in the same environment.
Remember, equivalent protons give one NMR signal:

It is the same with ethane; six protons – all equivalent, therefore one NMR signal:

However, if we place another atom on any of the CH3 groups of ethane, it makes the protons of the CH2 and CH3 groups different.
For example, bromoethane gives two NMR signals because the protons of the CH2 groups, being closer to the bromine, are different from those in the CH3 group:

There is a good question I get asked quite often;
Why do the protons of the same CH3 group give one signal?
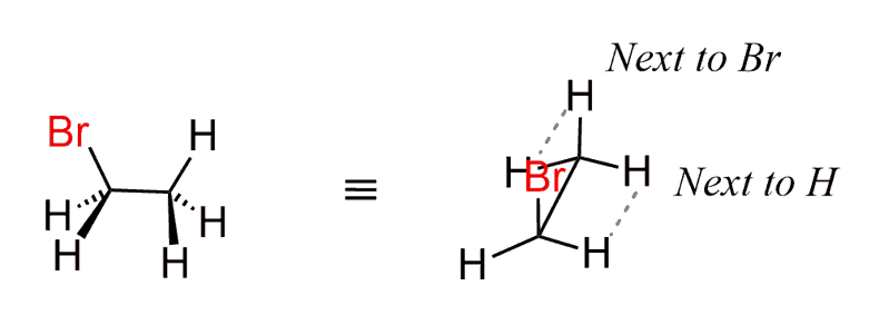
The carbon is tetrahedral and at any given time these protons are in a different environment since every conformation puts them next to a different atom:

So, shouldn’t they give different NMR signals?
You need to keep in mind that molecules do not freeze in one conformation unless the free rotation about a single bond is restricted by a steric or intramolecular bonding factors.
The CH3 group is very small and the rotation occurs fast enough to make each proton feel like in the same environment, so they give one NMR signal:

Let’s also look at the next two alkanes, propane and butane before trying to find some patterns for determining the number of NMR signals a little easier.
Propane and butane give two signals. One because the protons of the CH2 group are different from those in the CH3 group, and the other because despite having four carbon atoms, the molecule is a combination of two identical CH2 and CH3 groups:

From these examples, you might have noticed that the number of NMR signals is somehow related to the symmetry of the molecule.
And yes, that is a good observation. Essentially, if two protons (or two group of protons) are exchangeable either by a symmetry axis or a plane of symmetry, they are equivalent and give one signal:

Determining Equivalent Protons an Alkenes
How many signals does the NMR spectrum of the following alkene have?

The two protons here are equivalent and will give one NMR signal. You can see this by flipping the molecule 180o which produces the same molecule:

You can also visualize the symmetry plane reflecting protons a and b:

The following molecule does not have a plane of symmetry. However, protons a and b are exchangeable through a C2 (180o) symmetry axis and therefore, one NMR signal is expected too:

In both molecules, the protons were cis to a bromine and overall in the same environment.
There is a trait for equivalent protons in alkenes which shows that the two protons must be cis to the same group:

In the last molecule, proton a is cis to the methoxy group while proton b is cis to the bromine which puts them in different environment and therefore, two NMR signals will be observed.
The non-equivalence of these two protons is also proved by the absence of symmetry elements between them.
The equivalent and non-equivalent protons are classified more rigorously as homotopic, enantiotopic, diastereotopic, and constitutionally heterotopic. We will talk about these definitions and the methods for determining them in the next post and before doing that, here are some
Practice problems determining the number of signals in MNR spectroscopy.

Great 👍👍
Great
Thank you so much